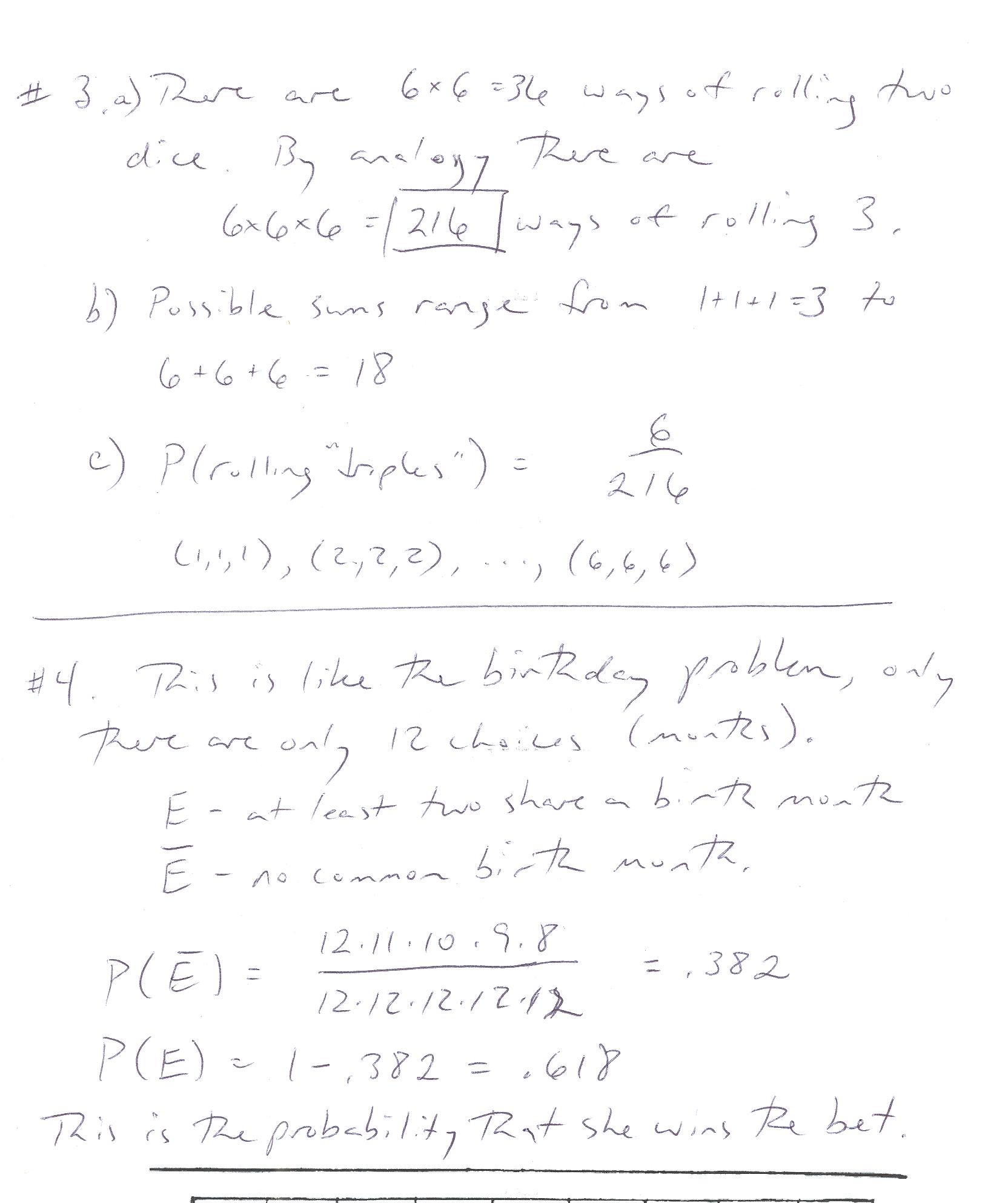
Homework #1: MAT115


Website maintained by Andy Long. Comments appreciated.